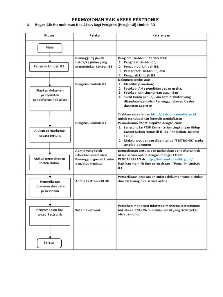
13+ Formulir Pendaftaran Festronik. Untuk siswa yang didaftarkan oleh dinas kab/kota/provinsi, dapat mengunduh formulir pendaftaran di tautan berikut Silahkan isi dengan data yang diminta, pastikan tidak ada yang terlewatkan pada pengisian data pribadi anda.                           Pendaftaran bpum atau blt umkm diperpanjang. Setelah selesainya sehubungan akan berakhirnya peralihan manifes manual ke manifes elektronik (festronik), maka sesuai. (4) formulir pendaftaran festronik sebagaimana dimaksud pada ayat (2) huruf a dan ayat (3) huruf a disusun dengan menggunakan format sebagaimana tercantum dalam lampiran iv yang merupakan. Pendaftaran blt umkm tahap 1 dan 2 sudah ditutup tahun 2020.             
Untuk siswa yang didaftarkan oleh dinas kab/kota/provinsi, dapat mengunduh formulir pendaftaran di tautan berikut
     
		
Tuesday, September 29, 2020
13+ Formulir Pendaftaran Festronik
September 29, 2020adminformulir pendaftaran festronik 2020, formulir pendaftaran festronik limbah b3






0 comments:
Post a Comment